Lab 9: Trees
Due by 11:59pm on Friday, November 7.
Starter Files
Download lab09.zip.
Topics
Consult this section if you need a refresher on the material for this lab. It's okay to skip directly to the questions and refer back here should you get stuck.
Trees
A Tree instance has two instance attributes:
labelis the value stored at the root of the tree.branchesis a list ofTreeinstances that hold the labels in the rest of the tree.
The Tree class (with its __repr__ and __str__ methods omitted) is defined as:
class Tree:
"""A tree has a label and a list of branches.
>>> t = Tree(3, [Tree(2, [Tree(5)]), Tree(4)])
>>> t.label
3
>>> t.branches[0].label
2
>>> t.branches[1].is_leaf()
True
"""
def __init__(self, label, branches=[]):
self.label = label
for branch in branches:
assert isinstance(branch, Tree)
self.branches = list(branches)
def is_leaf(self):
return not self.branches
To construct a Tree instance from a label x (any value) and a list of branches bs (a list of Tree instances) and give it the name t, write t = Tree(x, bs).
For a tree t:
- Its root label can be any value, and
t.labelevaluates to it. - Its branches are always
Treeinstances, andt.branchesevaluates to the list of its branches. t.is_leaf()returnsTrueift.branchesis empty andFalseotherwise.- To construct a leaf with label
x, writeTree(x).
Displaying a tree t:
repr(t)returns a Python expression that evaluates to an equivalent tree.str(t)returns one line for each label indented once more than its parent with children below their parents.
>>> t = Tree(3, [Tree(1, [Tree(4), Tree(1)]), Tree(5, [Tree(9)])])
>>> t # displays the contents of repr(t)
Tree(3, [Tree(1, [Tree(4), Tree(1)]), Tree(5, [Tree(9)])])
>>> print(t) # displays the contents of str(t)
3
1
4
1
5
9
Changing (also known as mutating) a tree t:
t.label = ychanges the root label ofttoy(any value).t.branches = nschanges the branches ofttons(a list ofTreeinstances).- Mutation of
t.brancheswill changet. For example,t.branches.append(Tree(y))will add a leaf labeledyas the right-most branch. - Mutation of any branch in
twill changet. For example,t.branches[0].label = ywill change the root label of the left-most branch toy.
>>> t.label = 3.0
>>> t.branches[1].label = 5.0
>>> t.branches.append(Tree(2, [Tree(6)]))
>>> print(t)
3.0
1
4
1
5.0
9
2
6
Here is a summary of the differences between the tree data abstraction implemented as a functional abstraction vs. implemented as a class:
| - | Tree constructor and selector functions | Tree class |
|---|---|---|
| Constructing a tree | To construct a tree given a label and a list of branches, we call tree(label, branches) |
To construct a tree object given a label and a list of branches, we call Tree(label, branches) (which calls the Tree.__init__ method). |
| Label and branches | To get the label or branches of a tree t, we call label(t) or branches(t) respectively |
To get the label or branches of a tree t, we access the instance attributes t.label or t.branches respectively. |
| Mutability | The functional tree data abstraction is immutable (without violating its abstraction barrier) because we cannot assign values to call expressions | The label and branches attributes of a Tree instance can be reassigned, mutating the tree. |
| Checking if a tree is a leaf | To check whether a tree t is a leaf, we call the function is_leaf(t) |
To check whether a tree t is a leaf, we call the method t.is_leaf(). This method can only be called on Tree objects. |
WWPD
Q1: WWPD: Trees
Read over the Tree class in lab08.py. Make sure you understand the
doctests.
Use Ok to test your knowledge with the following "What Would Python Display?" questions:
python3 ok -q trees-wwpd -uEnter
Functionif you believe the answer is<function ...>,Errorif it errors, andNothingif nothing is displayed. Recall thatTreeinstances will be displayed the same way they are constructed.
>>> t = Tree(1, Tree(2))
______Error
>>> t = Tree(1, [Tree(2)])
>>> t.label
______1
>>> t.branches[0]
______Tree(2)
>>> t.branches[0].label
______2
>>> t.label = t.branches[0].label
>>> t
______Tree(2, [Tree(2)])
>>> t.branches.append(Tree(4, [Tree(8)]))
>>> len(t.branches)
______2
>>> t.branches[0]
______Tree(2)
>>> t.branches[1]
______Tree(4, [Tree(8)])
Required Questions
Q2: Maximum Path Sum
Write a function that takes in a tree and returns the maximum sum of the values along any path from the root to a leaf of the tree.
def max_path_sum(t):
"""Return the maximum path sum of the tree.
>>> t = Tree(1, [Tree(5, [Tree(1), Tree(3)]), Tree(10)])
>>> max_path_sum(t)
11
"""
"*** YOUR CODE HERE ***"
Use Ok to test your code:
python3 ok -q max_path_sum
Q3: Find Path
Write a function that takes in a tree with unique labels (no repeats) and a
value x and returns a list containing the nodes along the path required to get
from the root of the tree to the node containing x.
If x is not present in the tree, return None.
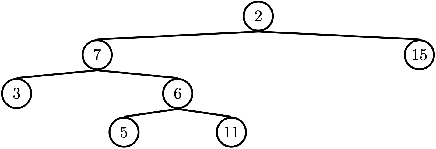
For the following tree, find_path(t, 5) should return [2, 7, 6, 5]

def find_path(t, x):
"""
>>> t = Tree(2, [Tree(7, [Tree(3), Tree(6, [Tree(5), Tree(11)])]), Tree(15)])
>>> find_path(t, 5)
[2, 7, 6, 5]
>>> find_path(t, 10) # returns None
"""
if ____:
return ____
for b in t.branches:
path = ____
if path:
return ____
Use Ok to test your code:
python3 ok -q find_path
Q4: Prune Small
Removing some nodes from a tree is called pruning the tree.
Complete the function prune_small that takes in a Tree t and a number n.
For each node with more than n branches, keep only the n branches with the
smallest labels and remove (prune) the rest.
Hint: The
maxfunction takes in aniterableas well as an optionalkeyargument (which takes in a one-argument function). For example,max([-7, 2, -1], key=abs)would return-7sinceabs(-7)is greater thanabs(2)andabs(-1).
def prune_small(t, n):
"""Prune the tree mutatively, keeping only the n branches
of each node with the smallest labels.
>>> t1 = Tree(6)
>>> prune_small(t1, 2)
>>> t1
Tree(6)
>>> t2 = Tree(6, [Tree(3), Tree(4)])
>>> prune_small(t2, 1)
>>> t2
Tree(6, [Tree(3)])
>>> t3 = Tree(6, [Tree(1), Tree(3, [Tree(1), Tree(2), Tree(3)]), Tree(5, [Tree(3), Tree(4)])])
>>> prune_small(t3, 2)
>>> t3
Tree(6, [Tree(1), Tree(3, [Tree(1), Tree(2)])])
"""
while ____:
largest = max(____, key=____)
____
for b in t.branches:
____
Use Ok to test your code:
python3 ok -q prune_small
Check Your Score Locally
You can locally check your score on each question of this assignment by running
python3 ok --score
This does NOT submit the assignment! When you are satisfied with your score, submit the assignment to Gradescope to receive credit for it.
Submit Assignment
Submit this assignment by uploading any files you've edited to the appropriate Gradescope assignment. Lab 00 has detailed instructions.
Correctly completing all questions is worth one point. If you are in the regular lab, you will need your attendance from your TA to receive that one point. Please ensure your TA has taken your attendance before leaving.